科研进展
我所流行病学团队对我国农村居民结核潜伏感染与活动性肺结核及其他共病发生的相关性研究取得新进展
2025年8月,我所流行病学团队在《The Lancet Regional Health-Western Pacific》杂志在线发表了题为“Association of tuberculosis infection with the development of active tuberculosis and comorbidities in rural China: a 10-year follow-up results of a population-based, multicentre, prospective study”的研究论文。
结核病是严重威胁人类健康的重大公共卫生问题。2013年,在国家传染病防治科技重大专项的支持下,研究团队针对我国四个不同结核病疫情地区的农村5周岁及以上常住人口开展了一项大规模、多中心的流行病学调查和队列研究(LATENTTB-NSTM),该研究支撑了我国结核潜伏感染负担的评估并潜伏感染发病重点人群的界定。2023年,研究团队对参与基线调查的研究对象进行了10年随访,旨在探讨基线结核潜伏感染状态与10年观察周期内结核病和其他健康问题发生风险的相关性,为优化结核病防控策略及共病管理提供数据参考。
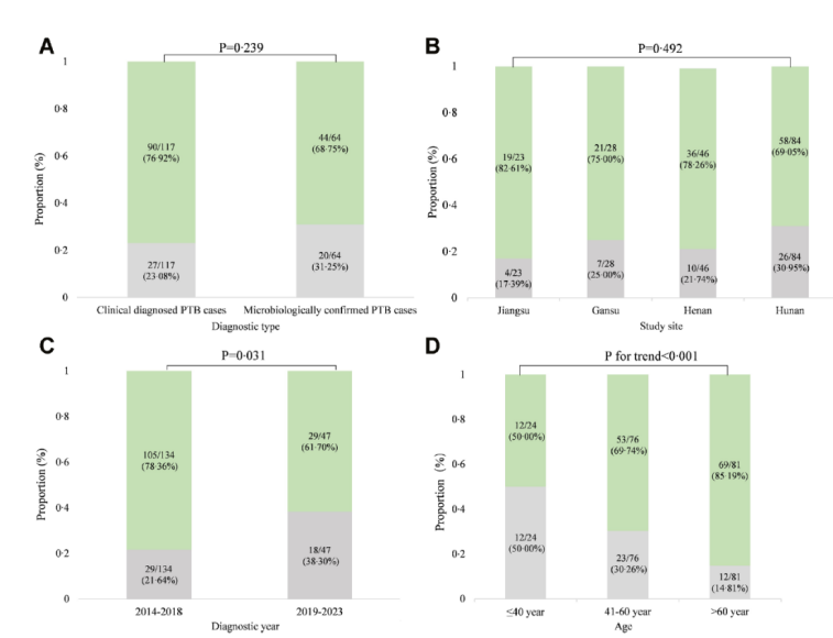
研究共纳入21,211名研究对象,总随访人年数为170,152人年。在队列建立的10年期间,共发现181例新发肺结核患者,其中134例来源于基线潜伏感染阳性队列,47例来源于基线感染阴性队列。与2014年-2018年定诊的患者相比,2019年-2023年定诊的患者中基线感染阴性者的占比显著升高(38.30%(18/47) vs. 21.64%(29/134),p=0.031)。此外,基线结核潜伏感染阳性者在年龄≥60岁的肺结核新发患者中的占比(69/81,85.19%)显著高于年龄41-60岁的患者(53/76,69.74%)和年龄≤40岁患者(12/24,50.00%)(见图1)。同时发现,基线结核潜伏感染阳性人群发生2型糖尿病、癌症和慢性支气管炎的风险显著高于基线潜伏感染阴性人群,校正后的风险比分别为1.22(95%置信区间(CI):1.04–1.42)、1.81(95% CI:1.20–2.72)和2.94(95% CI:1.06–8.15)。在不同年龄亚组及女性人群中,基线结核潜伏感染阳性与2型糖尿病和癌症的发病风险的相关性仍然显著(见图2)。此外,随着基线结核感染检测免疫反应强度的增加,2型糖尿病的发病风险呈现上升趋势。
本研究提示基线结核潜伏感染者是研究人群肺结核发病的重要来源,同时,随访期间新发感染对发病的贡献也不容忽视。此外,结核潜伏感染也可能会影响其他健康问题的发生,值得进一步深入研究。

图1.10年随访期间发生肺结核的患者其基线结核潜伏感染状态分布情况的亚组分析

图2:不同性别、年龄亚组下,基线结核潜伏感染者10年随访期间肺结核及其他疾病发生的风险
本研究工作得到中国医学科学院医学与健康科技创新工程(2021-I2M-1-037)、国家自然科学基金(82373647 和82473697)等项目的资助。高磊研究员、金奇研究员和博士后曹雪芳为通讯作者,辛赫男副研究员和杜江副研究员为共同第一作者。
